Science Practice Challenge Questions

26.1 Neurons and Glial Cells

35.

A neurotransmitter provides a chemical signal between neurons to inhibit or excite an action potential.

  1. Describe a model of this signaling and in this description include the roles played by synapse, receptors, post and pre-synaptic neurons, exocytosis, endocytosis, ligand-gated ion channel and the electric potential of the membrane.
  2. Explain the stimulatory or inhibitory effect of key ionic elements, Na+ and Cl-, on the electric potential of the post-synaptic membrane.
  3. Modify the diagram to create a representation of the effect explained above. Select from the following list to fill in the blanks:

     
    This figure shows a diagram of the membrane voltage of the pre- and postsynaptic neurons. At the top of the image, a membrane of a presynaptic neuron appears on the left. The label Cell membrane appears to the left of the membrane. The extracellular side of the membrane is labeled at a voltage of negative 70 m V. The intracellular side is labeled as 0 m V. On the right, a membrane of a postsynaptic neuron appears. The extracellular side of the membrane is labeled negative 55 m V. The intracellular side of
    Figure 26.34
    • Na+
    • Cl-
    • stimulatory
    • inhibitory
  4. In the 1960s Burnstock and co-workers provided evidence that ATP is a neurotransmitter. This was received skeptically and largely rejected until 1984 when a modified form of ATP that was known to block the intracellular function of ATP was shown to effect extracellular signal transmission. Based on the central role played by ATP in biological systems justify the resistance within the scientific community to accept a role for ATP as a neurotransmitter. Based on the fact that ATP has been conserved throughout evolution of life on Earth justify such a role for ATP. Based on these two perspectives analyze the role of cooperative interactions in the positive selection of ATP as a neurotransmitter.

26.2 How Neurons Communicate

36.

Neurons and muscle cells maintain a high concentration gradient of potassium ions across the plasma membrane. The extracellular space has a high concentration of sodium ions. At the rest electric potential the cell membrane is polarized.

  1. Construct a representation of the cell membrane with annotation of the diagram below that includes the following:
    • with a labeled arrow indicate the direction in which the motion of potassium ions is driven by the concentration gradient
    • with a labeled arrow indicate the direction in which the motion of sodium ions is driven by the concentration gradient
    • give a brief statement of the roles of potassium and sodium ion pumps in maintaining the rest electric potential
    • with a labeled arrow indicate the relative sign of the electric potential difference (voltage) between intracellular and extracellular spaces at the rest electric potential
    This figure is a diagram of a sodium ion pump and a potassium ion pump. Both pumps are embedded within a cytoplasmic membrane. At the top left-hand side of the image are the words Intercellular space. Underneath this heading, in descending order are the words High potassium ion concentration followed by the words Low sodium ion concentration. At the bottom left-hand side of the image are the words Extracellular space. Underneath this heading, in descending order, are the words High potassium ion concentra
    Figure 26.35

     
    When an excitatory neurotransmitter receptor is activated the electric potential difference of membrane of a neuron is lowered inducing a change in the configuration of sodium pump proteins.
  2. Justify the effect on the flux of sodium ions across the membrane as a positive feedback in a situation in which the electric potential difference falls below a threshold voltage and an action potential is created.

     

     
    The action potential is transmitted along the neuron as a voltage wave. One cycle of the wave is shown at the right of the diagram at the instant at which the maximum of the electric potential of the membrane has been reached.

     
    This is a figure of a diagram of a sodium ion pump and a potassium ion pump. A black double-pointed arrow appears within the membrane with a labeled voltage of 40 m V. At the top of the image are the words Intercellular space. At the bottom of the image are the words Extracellular space. A graph to the right of the image plots time on the x-axis versus membrane potential on the y-axis. Negative 70 m V is labeled as the bottom most point on the y-axis. 40 m V is labeled at the top of the y-axis. At the mid
    Figure 26.36
  3. Construct a representation of the key elements of the signal propagation with annotation of the diagram that includes the following:
    • a labeled arrow that indicates the direction in which the motion of potassium ions is driven by the concentration gradient
    • a labeled arrow that indicates the direction in which the motion of potassium ions is driven by the electric potential difference across the membrane
    • give a brief statement of the roles of potassium and sodium ion pumps in terminating the action potential

     
    Most neurons must transmit a signal quickly. The sarcolemmas (muscle cell membranes) of the cardiac muscles receive signals that integrate information from both the sympathetic (quick response with shorter time scale) and parasympathetic (steady response with longer time scale) divisions of the autonomic nervous system. The action potential that induces periodic contractions of the cardiac muscle (see figure below) is broadened at the maximum by the release of Ca+2 from the smooth endoplasmic reticulum, referred to as calcium-induced calcium release (CICR).

     
    This is an image of a graph of Time versus Membrane potential. An upward-pointing black arrow is on the y-axis side of the graph. It is labeled Membrane potential. At the top of the arrow, V ma appears to the left. At the bottom of the y-axis, V rest appears to the left of the arrow. The line of the upward-pointing arrow is intercepted at its midway point by a black arrow pointing toward the right. This arrow is labeled Time. An open-ended rectangular structure overlaps the horizontal arrow, beginning at
    Figure 26.37
  4. In terms of the function of the heart in the supply of oxygen and nutrients during “fight or flight” or restful conditions, justify the claim that this broadening demonstrates that the coordination of events must be regulated.
  5. To stop a beating heart during open-heart surgery a solution of KCl is injected into the cardiac muscle. Explain the effect of a large dose of extracellular K+ on the transmission of the action potential in the sarcolemma.

26.3 The Central Nervous System

37.

The brain integrates new information through the formation of memories and by learning. Alternative explanations of the ability of the brain to remodel in response to experience, called plasticity, are given. This item explores those explanations.

Consider the interaction of these three cell types that integrate information to produce a response to external cues:

This figure has three boxes. Left box is generic muscle cell. Middle box is generic neuron. Right box is generic sensory cell.
Figure 26.38
  1. Use the figure to construct a representation of the direction of information flow.

     

     
    The central body of a neuron is elaborated by tree-like structures called dendrites. These allow the neuron to integrate information from multiple sensory receptors.
  2. Describe what refinement of the basic stimulus-response system in the diagram is needed to achieve even the simplest response: “move away.” Awareness of orientation and motion within a body is called proprioception. Describe how multiple neurons are required to acquire proprioception.

     

     
    The generation of neurons occurs during development. However, adults continue to form memories and learn. Rearrangement of connections between neurons is a possible explanation and in several studies steroid hormones have been shown to produce dendritic plasticity. The hippocampus is active during memory formation and learning and significant variations in the number of dendrites were observed in the hippocampus (Wooley et al, Journal of Neuroscience, 10, 1990) were correlated with variations in estrogen during the estrus cycle. More recently variation in these structures is implicated in a collection of behaviors known as chronic unpredictable mild stress (CUMS). In rats CUMS can be induced by environmental factors such as electric shock, immobilization, or isolation (Qiao et al, Neural Plasticity, 2016).
  3. Pose two scientific questions that can be investigated to connect the dynamic homeostasis and survival advantage of the individual to dendritic plasticity.

     

     
    An alternative explanation of the manner in which the brain integrates new information is through synaptic plasticity. This has been demonstrated by Nabavi and co-workers (Nature, 511, 2014). An associated memory was created in a rat by pairing two stimuli: an audio tone and a foot shock. The animal had previously been trained to avoid pressing a lever that delivers a reward by associating the lever press with a shock. After conditioning the animal responded to the tone as if it was a shock and avoided reward. The ratio of stimulatory to inhibitory receptors at the synaptic membrane was shown to increase with the experience.

     

     
    A miniaturized device, optically activated and controlled by flashing light, was inserted in the nuclei of neurons transmitting the tone to the rat’s brain. When the experimenters used light with 1 flash per second (1 Hz) the device caused the expression by the cell of one type of protein and when a light with 100 flashes per second (100 Hz) was used the device caused expression of another type of protein. Each of the graphs describe the response of the rat to environmental cues. One day elapsed between each data collection represented by one graph.
    This figure shows five charts. Vertical axis is labeled Lever presses with tick marks at 0, 0.5, 1.0, 1.5. The horizontal axis is labeled Time in minutes with tick marks at 0, 2, 4, 6. Graph a is titled Conditioned, with 2 dots beside 1.0 and 4 dots that go up from 3 to 6 diagonally. Graph b is title 1 hZ, with 6 dots that go across from 1.0 in a slight wave. Graph c is labeled 100 Hz, with 2 dots beside 1.0 and 4 dots that go up from 3 diagonally. Graph d is titled 1 Hz, with 6 dots that go across from 1
    Figure 26.39
  4. Analyze these data in terms of the evidence provided for synaptic plasticity.
     
    A third explanation for the formation of memory and learning is found in the lab of David Glanzman (Elife, 2014). The sea slug (Aplysia) can be trained to withdraw its siphon tube. Sensory and motor neurons can be grown in tissue culture. The addition of serotonin to the tissue culture increases the number of synaptic connections and the training can be induced in vitro. Cells that had acquired the stimulus-response behavior were treated with an agent that destroys the synaptic receptors. Yet the trained response was retained and there were indications that the information was retrieved from the neuron nucleus.
  5. Suppose that this work concerning the location of memory is confirmed. Create a representation of information flow in which a fourth box labeled “neuron nucleus” is added to the diagram in part A between the stimulus and the neuron. Annotate the representation to indicate the flow of information.

     
    Explain
    • how this form of plasticity is more dynamic than theories in which memory resides in synaptic or dendritic structures, and
    • how it might lead to a treatments for disorders, such as post-traumatic stress syndrome, in which recollection creates a disability.
    Pose questions regarding the ethical or social consequences of this technology.

26.4 The Peripheral Nervous System

38.

You are probably acquainted with the effects of local anesthetics. While the injection of lidocaine at the dentist is unpleasant no injection would be more so. Lidocaine is a sodium channel blocker.

Explain the absence of pain in terms of the effect of lidocaine on signal reception and transduction.The pain of the dentist’s drill is caused by trauma at the cellular level. Chemical messengers such as cytokines, serotonin, and prostaglandins are released by broken cells. The receptors for these messages of trauma are called nociceptors whose activation is transmitted to the central nervous system by specialized cells called the A and C fibres.

  1. The nervous system is a network of cells and tissues that is activated by these chemical messengers. Identify another system that should be activated by these messengers and support your claim by applying the idea that dynamic homeostasis is maintained by timing and coordination of regulated events.
  2. Chronic pain often persists after damaged tissue has healed. This pain is often accompanied by sterile inflammation with components of the innate immune system such as macrophages. Refine the model of coordinated response identified in part B to describe how chemical messengers associated with the immune response can cause chronic pain.

     
    Unlike local anesthetics general anesthetics block signal transduction of the entire central nervous system and the brain. However, while the patient is unconscious the peripheral nervous system continues to support signaling to other systems such as heart and lungs. An explanation might be that the signal in the central and peripheral nervous systems are segregated and that the latter functions without cognitive integration (thought) as the name “autonomic” implies. The respiratory center that provides autonomic control of breathing is part of the medulla oblongata.
  3. Create a visual representation of system composed only of the cortex, the medulla oblongata, the heart and the lungs. Using arrows describe the flow of information. Consider “holding your breath” in creating your representation. Consider why you always stop holding your breath eventually. Consider “holding your heart.” Experimental data on the voluntary control of heart rate by people who practice yoga have been reported (Raghavendra et al, International Journal of Yoga, 6, 2013; Telles et al, Integrative Physiological and Behavioral Science, 39, 2004).
  4. Analyze the data provided in the following sketch of blood flow, a process controlled by the autonomic nervous system, in the two ears of a rabbit (after Blessing, Trends in Neuroscience, 20, 1997) in terms of cognitive integration of the response to the stimulus provided by touching the rabbit.

     
    This figure is a two adjoining graphs measuring Ear blood flow in kilohertz on the y-axis, with values 0 and 80, versus Time in minutes on the x-axis, from 0 to 2.5 in increments of 0.5. Data are shown for measurements of ear blood flow for the left ear in the top graph and the right ear in the bottom graph. A short downward-pointing arrow, labeled Touch, is on the right side of the left ear graph. Three short downward-pointing arrows appear at the top of the left ear graph, at 0.5, less than 1.5, and les
    Figure 26.40

26.5 Nervous System Disorders

39.

Describe how neurons transmit information.

40.

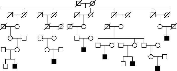
Autism is a collection of communication and socialization behaviors. Evidence of inheritance of genes predisposing the individual during early development is indicated by pedigrees such as the following (after Allen-Brady, Molecular Psychiatry, 14, 2009). Males (squares) and females (circles) are affected when the symbol is filled, are struck through when deceased and the genome cannot be determined, and are dashed when living and the genome was not determined.

Pedigree chart for autism features a series of squares, representing males, and a series of circles, representing females. Vertical and horizontal lines connect the squares and circles to show lineage from the first parental generation to succeeding generations. Individuals affected with autism are represented by images of circles or squares that are filled solid. For deceased individuals, the circles and squares are shown with a diagonal line drawn through them.
Figure 26.41
  1. Other evidence indicates that autism is not x-linked. Give an alternative explanation that can account for this data.
  2. Stem cells taken from fathers who do not present characteristic of autism and from their sons were induced to form tissue cultures of neurons. Compared to the father those taken from the son showed accelerated growth with a higher number of synapses. Describe possible consequences for the integration of information if this in vitro growth also occurs in vivo.

     

     
    The variety of phenotypes and large number of genes that have been implicated in this disorder have led researchers to refer to the characteristics as autisms described by a spectrum of disorders, ASD. One of the gene implicated is bola2. While humans and other primates have genomes that are reported to have only a 2% deviation the particular form of bola2 that occurs in 99% of human genomes that have been mapped does not occur in other primates. And bola2 is not present in the Neanderthal genome. Even more interesting is that single nucleotide variations in human bola2 are significantly less frequent than genes associated with other brain disorders such as schizophrenia.
  3. Evaluate the selection pressure and direction (positive or negative) indicated by this observation.
  4. Several hundred genes have been implicated in ASD and many others probably will eventually be discovered. Expression in a gene networks can depend on factors that are both genetic and environmental. Given the complexity of ASD what questions should be researched by the physician of children or their parents when genetic screening is considered?