Learning Objectives

Learning Objectives

By the end of this section, you will be able to do the following:

  • Define components of vectors
  • Describe the analytical method of vector addition and subtraction
  • Use the analytical method of vector addition and subtraction to solve problems
Section Key Terms
analytical method component (of a two-dimensional vector)

Components of Vectors

Components of Vectors

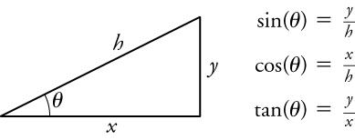
For the analytical method of vector addition and subtraction, we use some simple geometry and trigonometry, instead of using a ruler and protractor as we did for graphical methods. However, the graphical method will still come in handy to visualize the problem by drawing vectors using the head-to-tail method. The analytical method is more accurate than the graphical method, which is limited by the precision of the drawing. For a refresher on the definitions of the sine, cosine, and tangent of an angle, see Figure 5.18.

A right triangle is shown. The hypotenuse is labeled h, the vertical leg is labeled Y, and the horizontal leg is labeled X. The right angle is labeled with the angle symbol. The following formulas appear next to the triangle: sine angle equals y over h, cosine angle equals x over h, and tangent angle equals y over x.
Figure 5.18 For a right triangle, the sine, cosine, and tangent of θ are defined in terms of the adjacent side, the opposite side, or the hypotenuse. In this figure, x is the adjacent side, y is the opposite side, and h is the hypotenuse.

Since, by definition, cosθ=x/hcosθ=x/h, we can find the length x if we know h and θθ by using x=hcosθx=hcosθ. Similarly, we can find the length of y by using y=hsinθy=hsinθ. These trigonometric relationships are useful for adding vectors.

When a vector acts in more than one dimension, it is useful to break it down into its x and y components. For a two-dimensional vector, a component is a piece of a vector that points in either the x- or y-direction. Every 2-d vector can be expressed as a sum of its x and y components.

For example, given a vector like A A in Figure 5.19, we may want to find what two perpendicular vectors, A x A x and A y A y , add to produce it. In this example, A x A x and A y A y form a right triangle, meaning that the angle between them is 90 degrees. This is a common situation in physics and happens to be the least complicated situation trigonometrically.

Vectors A, Ax, and Ay are shown. The vector A, with its tail at the origin of an x, y-coordinate system, is shown together with its x- and y-components, Ax and Ay. These vectors form a right triangle. The formula Ax plus Ay equals A is shown above the vectors.
Figure 5.19 The vector A A , with its tail at the origin of an x- y-coordinate system, is shown together with its x- and y-components, A x A x and A y . A y . These vectors form a right triangle.

A x A x and A y A y are defined to be the components of A A along the x- and y-axes. The three vectors, A A , A x A x , and A y A y , form a right triangle.

A x  +  A y  = A A x  +  A y  = A

If the vector A A is known, then its magnitude A A (its length) and its angle θ θ (its direction) are known. To find A x A x and A y A y , its x- and y-components, we use the following relationships for a right triangle:

A x =Acosθ A x =Acosθ

and

A y =Asinθ, A y =Asinθ,

where A x A x is the magnitude of A in the x-direction, A y A y is the magnitude of A in the y-direction, and θ θ is the angle of the resultant with respect to the x-axis, as shown in Figure 5.20.

Vectors A x and A y form the legs of a right triangle and vector A forms the hypotenuse. Vector Ax is along an x-axis and vector Y is vertical and dashed. A x equals A times cosine angle. A y equals A times sine angle. A x plus A y equals A.
Figure 5.20 The magnitudes of the vector components A x A x and A y A y can be related to the resultant vector A A and the angle θ θ with trigonometric identities. Here we see that A x =Acosθ A x =Acosθ and A y =Asinθ. A y =Asinθ.

Suppose, for example, that A A is the vector representing the total displacement of the person walking in a city, as illustrated in Figure 5.21.

A map is shown over top x and y-axes. The origin is labeled Starting Point. The x-axis represents east and has a scale from zero to nine in increments of one. The y-axis represents north and has a scale from zero to five in increments of one. Lines show that a person walks nine blocks east and five blocks north. A displacement vector is plotted from the origin to the destination of nine, five on the axes. The following label is next to the y-axis: A y equals A times sine angle, equals ten point three bloc
Figure 5.21 We can use the relationships A x =Acosθ A x =Acosθ and A y =Asinθ A y =Asinθ to determine the magnitude of the horizontal and vertical component vectors in this example.

Then A = 10.3 blocks and θ= 29.1 θ= 29.1 , so that

5.6 A x = Acosθ = (10.3 blocks)(cos29 .1 ) = (10.3 blocks)(0.874) = 9.0 blocks. A x = Acosθ = (10.3 blocks)(cos29 .1 ) = (10.3 blocks)(0.874) = 9.0 blocks.

This magnitude indicates that the walker has traveled 9 blocks to the east—in other words, a 9-block eastward displacement. Similarly,

5.7 A y = Asinθ = (10.3 blocks)(sin29 .1 ) = (10.3 blocks)(0.846) = 5.0 blocks, A y = Asinθ = (10.3 blocks)(sin29 .1 ) = (10.3 blocks)(0.846) = 5.0 blocks,

indicating that the walker has traveled 5 blocks to the north—a 5-block northward displacement.

Analytical Method of Vector Addition and Subtraction

Analytical Method of Vector Addition and Subtraction

Calculating a resultant vector (or vector addition) is the reverse of breaking the resultant down into its components. If the perpendicular components A x A x and A y A y of a vector A A are known, then we can find A A analytically. How do we do this? Since, by definition,

tanθ=y/x (or in this case tanθ= A y / A x ), tanθ=y/x (or in this case tanθ= A y / A x ),

we solve for θ θ to find the direction of the resultant.

θ= tan 1 ( A y / A x ) θ= tan 1 ( A y / A x )

Since this is a right triangle, the Pythagorean theorem (x2 + y2 = h2) for finding the hypotenuse applies. In this case, it becomes


A 2 = A x 2 + A y 2 . A 2 = A x 2 + A y 2 .

Solving for A gives

A= A x 2 + A y 2 . A= A x 2 + A y 2 .

In summary, to find the magnitude A A and direction θ θ of a vector from its perpendicular components A x A x and A y A y , as illustrated in Figure 5.22, we use the following relationships:

A = A x 2 + A y 2 θ= tan 1 ( A y / A x ) A = A x 2 + A y 2 θ= tan 1 ( A y / A x )
Vectors Ax and Ay form the legs of a right triangle and vector A forms the hypotenuse. Vectors Ax and Ay are dashed. The formula angle equals inverse tangent times Ay over Ax is inside the triangle. Vector A is labeled A equals the square root of Ax squared plus Ay squared.
Figure 5.22 The magnitude and direction of the resultant vector A A can be determined once the horizontal components A x A x and A y A y have been determined.

Sometimes, the vectors added are not perfectly perpendicular to one another. An example of this is the case below, where the vectors A A and B B are added to produce the resultant R , R , as illustrated in Figure 5.23.

A compass is shown on the left. On the right, vectors A, B, and R form a triangle, with the vertex of AR at the origin of an x-y axis. The formula A plus B equals R is above the triangle.
Figure 5.23 Vectors A A and B B are two legs of a walk, and R R is the resultant or total displacement. You can use analytical methods to determine the magnitude and direction of R R .

If A A and B B represent two legs of a walk (two displacements), then R R is the total displacement. The person taking the walk ends up at the tip of R R . There are many ways to arrive at the same point. The person could have walked straight ahead first in the x-direction and then in the y-direction. Those paths are the x- and y-components of the resultant, R x R x and R y . R y . If we know R x R x and R y R y , we can find R R and θ θ using the equations R= R x 2 + R y 2 R= R x 2 + R y 2 and θ=ta n 1 ( R y / R x ) θ=ta n 1 ( R y / R x ) .

  1. Draw in the x and y components of each vector (including the resultant) with a dashed line. Use the equations A x =Acosθ A x =Acosθ and A y =Asinθ A y =Asinθ to find the components. In Figure 5.24, these components are A x A x , A y A y , B x B x , and B y . B y . Vector A A makes an angle of θ A θ A with the x-axis, and vector B B makes and angle of θ B θ B with its own x-axis (which is slightly above the x-axis used by vector A).
    A compass is shown on the left. On the right, vectors A, B, and R form a triangle, with the vertex of AR at the origin of an x-y axis. The formula A plus B equals R is above the triangle. Dashed lines indicate vertical and horizontal components of each vector. Labels indicate locations for angle A and angle B.
    Figure 5.24 To add vectors A A and B, B, first determine the horizontal and vertical components of each vector. These are the dotted vectors A x , A x , A y A y B y B y shown in the image.
  2. Find the x component of the resultant by adding the x component of the vectors
    R x = A x + B x R x = A x + B x

    and find the y component of the resultant (as illustrated in Figure 5.25) by adding the y component of the vectors.

    R y = A y + B y . R y = A y + B y .
    A compass is shown on the left. On the right, vectors A, B, and R form a triangle, with the vertex of AR at the origin of an x-y axis. The formula A plus B equals R is above the triangle. Dashed lines indicate vertical and horizontal components of each vector. Labels indicate locations for angle A and angle B. The formula Rx equals Ax plus Bx is below the x-axis. The formula Ry equals Ay plus By is next to the y-axis.
    Figure 5.25 The vectors A x A x and B x B x add to give the magnitude of the resultant vector in the horizontal direction, R x . R x . Similarly, the vectors A y A y and B y B y add to give the magnitude of the resultant vector in the vertical direction, R y . R y .

    Now that we know the components of R, R, we can find its magnitude and direction.

  3. To get the magnitude of the resultant R, use the Pythagorean theorem.
    R= R x 2 + R y 2 R= R x 2 + R y 2
  4. To get the direction of the resultant
    θ= tan 1 ( R y / R x ). θ= tan 1 ( R y / R x ).

Watch Physics

Classifying Vectors and Quantities Example

This video contrasts and compares three vectors in terms of their magnitudes, positions, and directions.

Grasp Check
Three vectors, u , v , and w , have the same magnitude of 5 units . Vector v points to the northeast. Vector w points to the southwest exactly opposite to vector u . Vector u points in the northwest. If the vectors u , v , and w were added together, what would be the magnitude of the resultant vector? Why?
  1. 0 units . All of them will cancel each other out.
  2. 5 units . Two of them will cancel each other out.
  3. 10 units . Two of them will add together to give the resultant.
  4. 15 units. All of them will add together to give the resultant.

Tips For Success

In the video, the vectors were represented with an arrow above them rather than in bold. This is a common notation in math classes.

Using the Analytical Method of Vector Addition and Subtraction to Solve Problems

Using the Analytical Method of Vector Addition and Subtraction to Solve Problems

Figure 5.26 uses the analytical method to add vectors.

Worked Example

An Accelerating Subway Train

Add the vector A A to the vector B B shown in Figure 5.26, using the steps above. The x-axis is along the east–west direction, and the y-axis is along the north–south directions. A person first walks 53.0 m 53.0 m in a direction 20.0° 20.0° north of east, represented by vector A. A. The person then walks 34.0 m 34.0 m in a direction 63.0° 63.0° north of east, represented by vector B. B.

Vectors A, B, and R form a triangle with vertex RA at the origin of an x y-axis. The following labels are included: angle (where R and A form an angle) equals thirty-six point six degrees, angle A equals twenty degrees, angle B equals sixty-three degrees, A equals fifty-three meters, B equals thirty-four meters, and A plus B equals R. A compass is shown in the bottom corner for reference.
Figure 5.26 You can use analytical models to add vectors.

Strategy

The components of A A and B B along the x- and y-axes represent walking due east and due north to get to the same ending point. We will solve for these components and then add them in the x-direction and y-direction to find the resultant.

Solution

First, we find the components of A A and B B along the x- and y-axes. From the problem, we know that A=53.0 m A=53.0 m , θ A = 20.0 θ A = 20.0 , B B = 34.0 m 34.0 m , and θ B = 63.0 θ B = 63.0 . We find the x-components by using A x =Acosθ A x =Acosθ , which gives

A x = Acos θ A =(53.0 m)(cos 20.0 ) = (53.0 m)(0.940)=49.8 m A x = Acos θ A =(53.0 m)(cos 20.0 ) = (53.0 m)(0.940)=49.8 m

and

B x = Bcos θ B =(34.0 m)(cos 63.0 ) = (34.0 m)(0.454)=15.4 m. B x = Bcos θ B =(34.0 m)(cos 63.0 ) = (34.0 m)(0.454)=15.4 m.

Similarly, the y-components are found using A y =Asin θ A A y =Asin θ A

A y = Asin θ A =(53.0 m)(sin 20.0 ) = (53.0 m)(0.342)=18.1 m A y = Asin θ A =(53.0 m)(sin 20.0 ) = (53.0 m)(0.342)=18.1 m

and

B y = Bsin θ B =(34.0 m)(sin 63.0 ) = (34.0 m)(0.891)=30.3 m. B y = Bsin θ B =(34.0 m)(sin 63.0 ) = (34.0 m)(0.891)=30.3 m.

The x- and y-components of the resultant are

R x = A x + B x =49.8 m+15.4 m=65.2 m R x = A x + B x =49.8 m+15.4 m=65.2 m

and

R y = A y + B y =18.1 m+30.3 m=48.4 m. R y = A y + B y =18.1 m+30.3 m=48.4 m.

Now we can find the magnitude of the resultant by using the Pythagorean theorem

5.8 R= R x 2 + R y 2 = (65.2) 2 + (48.4) 2  m R= R x 2 + R y 2 = (65.2) 2 + (48.4) 2  m

so that

R= 6601 m =81.2 m . R= 6601 m =81.2 m .

Finally, we find the direction of the resultant

θ= tan 1 ( R y / R x )=+ tan 1 (48.4/65.2). θ= tan 1 ( R y / R x )=+ tan 1 (48.4/65.2).

This is

θ= tan 1 (0.742)= 36.6 . θ= tan 1 (0.742)= 36.6 .
Discussion

This example shows vector addition using the analytical method. Vector subtraction using the analytical method is very similar. It is just the addition of a negative vector. That is, ABA+(B) ABA+(B) . The components of – B B are the negatives of the components of B B . Therefore, the x- and y-components of the resultant AB=R AB=R are

R x = A x +- B x R x = A x +- B x

and

R y = A y +- B y R y = A y +- B y

and the rest of the method outlined above is identical to that for addition.

Practice Problems

What is the magnitude of a vector whose x-component is 4 cm and whose y-component is 3 cm?

  1. 1 cm
  2. 5 cm
  3. 7 cm
  4. 25 cm

What is the magnitude of a vector that makes an angle of 30° to the horizontal and whose x-component is 3 units?

  1. 2.61 units
  2. 3.00 units
  3. 3.46 units
  4. 6.00 units

Check Your Understanding

Check Your Understanding

Exercise 3

Between the analytical and graphical methods of vector additions, which is more accurate? Why?

  1. The analytical method is less accurate than the graphical method, because the former involves geometry and trigonometry.
  2. The analytical method is more accurate than the graphical method, because the latter involves some extensive calculations.
  3. The analytical method is less accurate than the graphical method, because the former includes drawing all figures to the right scale.
  4. The analytical method is more accurate than the graphical method, because the latter is limited by the precision of the drawing.
Exercise 4

What is a component of a two dimensional vector?

  1. A component is a piece of a vector that points in either the x or y direction.
  2. A component is a piece of a vector that has half of the magnitude of the original vector.
  3. A component is a piece of a vector that points in the direction opposite to the original vector.
  4. A component is a piece of a vector that points in the same direction as original vector but with double of its magnitude.
Exercise 5
How can we determine the global angle θ (measured counter-clockwise from positive x ) if we know A x and A y ?
  1. θ = cos 1 A y A x
  2. θ = cot 1 A y A x
  3. θ = sin 1 A y A x
  4. θ = tan 1 A y A x
Exercise 6

How can we determine the magnitude of a vector if we know the magnitudes of its components?

  1. |A|=Ax+Ay|A|=Ax+Ay
  2. |A|=Ax2+Ay2|A|=Ax2+Ay2
  3. |A|=Ax2+Ay2|A|=Ax2+Ay2
  4. |A|=(Ax2+Ay2)2|A|=(Ax2+Ay2)2